PETSc Time-stepping Solver – Chemical Akzo Nobel Example

Hide code cell content
###############################################################################
# The Institute for the Design of Advanced Energy Systems Integrated Platform
# Framework (IDAES IP) was produced under the DOE Institute for the
# Design of Advanced Energy Systems (IDAES).
#
# Copyright (c) 2018-2023 by the software owners: The Regents of the
# University of California, through Lawrence Berkeley National Laboratory,
# National Technology & Engineering Solutions of Sandia, LLC, Carnegie Mellon
# University, West Virginia University Research Corporation, et al.
# All rights reserved.  Please see the files COPYRIGHT.md and LICENSE.md
# for full copyright and license information.
###############################################################################

PETSc Time-stepping Solver – Chemical Akzo Nobel Example#

Author: John Eslick
Maintainer: John Eslick
Updated: 2023-06-01

This example provides an overview of the PETSc time-stepping solver utilities in IDAES, which can be used to solve systems of differential algebraic equations (DAEs). PETSc is a solver suite developed primarily by Argonne National Lab (https://petsc.org/release/). IDAES provides a wrapper for PETSc (IDAES/idaes-ext) that uses the AMPL solver interface (https://ampl.com/resources/learn-more/hooking-your-solver-to-ampl/) and utility functions that allow Pyomo and Pyomo.DAE (https://pyomo.readthedocs.io/en/stable/modeling_extensions/dae.html) problems to be solved using PETSc.

This demonstration problem describes a set of chemical reactions in a reactor. A full description of the problem is available at https://archimede.dm.uniba.it/~testset/report/chemakzo.pdf. This is part of a test set which can be found at https://archimede.uniba.it/~testset/.

Prerequisites#

The PETSc solver is an extra download for IDAES, which can be downloaded using the command idaes get-extensions --extra petsc, if it is not installed already. See the IDAES solver documentation for more information (https://idaes-pse.readthedocs.io/en/stable/reference_guides/core/solvers.html).

Imports#

Import the modules that will be used. Numpy and matplotlib are used to make some plots, idaes.core.solvers.petsc contains the PETSc utilities, and idaes.core.solvers.features contains the example model used here.

import numpy as np
import matplotlib.pyplot as plt

import pyomo.environ as pyo
import idaes.core.solvers.petsc as petsc  # petsc utilities module
from idaes.core.solvers.features import dae  # DAE example/test problem

Set Up the Model#

The model in this example is used for basic solver testing, so it is provided as part of an IDAES solver testing module. The model implementation is standard Pyomo.DAE, and nothing special needs to be done in the model to use the PETSc solver. The IDAES utilities for the PETSc solver will take the discretized Pyomo model and integrate between discrete time points to fill in the solution. To integrate over the entire time domain (as we will do here), you can discretize time using one time element, in which case, the problem will just contain the initial and final points. The intermediate solutions can be read from the trajectory data saved by the solver. The trajectory data can be used for analysis, or interpolation can be used to initialize a Pyomo problem before solving the fully time discretized problem. Integrating over the entire time domain is fastest with a coarsely discretized model (ideally just a single finite element in time) because the model is smaller and there are fewer calls to the integrator. This can be a good way to start testing a new dynamic IDAES model.

# To see the example problem code, uncomment the line below and execute this cell.
# ??dae
# Get the model and known solution for y variables at t=180 minutes.
m, y1, y2, y3, y4, y5, y6 = dae(nfe=10)

The variables y1 to y6 represent concentrations of chemical species. The values returned by the function above are the correct solution at t = 180. These values can be used to verify the solver results. The Pyomo model is m. We are mainly interested in the y variables. The variables y1 to y5 are differential variables and y6 is an algebraic variable. Initial conditions are required for y1 through y5, and the initial values of the other variables can be calculated from there. The variables y1 through y5 at t = 0 are: m.y[0, 1] to m.y[0, 5] and y6 is m.y6[0]. The variables at the final state are m.y[180, 1] to m.y[180, 5] and m.y6[180]. The variable y6 is indexed differently because we want to treat it differently than the differential variables.

# See the initial conditions:
print("at t = 0:")
print(f"    y1 = {pyo.value(m.y[0, 1])}")
print(f"    y2 = {pyo.value(m.y[0, 2])}")
print(f"    y3 = {pyo.value(m.y[0, 3])}")
print(f"    y4 = {pyo.value(m.y[0, 4])}")
print(f"    y5 = {pyo.value(m.y[0, 5])}")
at t = 0:
    y1 = 0.444
    y2 = 0.00123
    y3 = 0.0
    y4 = 0.007
    y5 = 0.0

Solve#

The petsc_dae_by_time_element() function is used to solve Pyomo.DAE discretized Pyomo problem with the PETSc time-stepping solver by integrating between discrete time points. In this case there is only one time element.

# To see the docs, uncomment the line below and execute this cell.
# ?petsc.petsc_dae_by_time_element
# The command below will solve the problem.  In this case, we want to read the saved
# trajectory for each time element in the Pyomo.DAE problem (in this case there is
# only 1) so we will need to provide solver options to save the trajectory to the PETSc
# solver, a file name stub for variable information files, and a file stub for saving
# the trajectory information.  The options shown below will delete the trajectory
# information written by PETSc and resave it as json.  This allows us to cleanly read
# the trajectory data for multiple time elements.

result = petsc.petsc_dae_by_time_element(
    m,
    time=m.t,
    between=[m.t.first(), m.t.last()],
    ts_options={
        "--ts_type": "cn",  # Crank–Nicolson
        "--ts_adapt_type": "basic",
        "--ts_dt": 0.01,
        "--ts_save_trajectory": 1,
    },
)
tj = result.trajectory
res = result.results
2023-11-02 10:22:07 [INFO] idaes.solve.petsc-dae: Called fg_read, err: 0 (0 is good)
2023-11-02 10:22:07 [INFO] idaes.solve.petsc-dae: ---------------------------------------------------
2023-11-02 10:22:07 [INFO] idaes.solve.petsc-dae: DAE: 0
2023-11-02 10:22:07 [INFO] idaes.solve.petsc-dae: Reading nl file: C:\Users\dkgun\AppData\Local\Temp\tmp79_vpohc.pyomo.nl
2023-11-02 10:22:07 [INFO] idaes.solve.petsc-dae: Number of constraints: 12
2023-11-02 10:22:07 [INFO] idaes.solve.petsc-dae: Number of nonlinear constraints: 1
2023-11-02 10:22:07 [INFO] idaes.solve.petsc-dae: Number of linear constraints: 11
2023-11-02 10:22:07 [INFO] idaes.solve.petsc-dae: Number of inequalities: 0
2023-11-02 10:22:07 [INFO] idaes.solve.petsc-dae: Number of variables: 12
2023-11-02 10:22:07 [INFO] idaes.solve.petsc-dae: Number of integers: 0
2023-11-02 10:22:07 [INFO] idaes.solve.petsc-dae: Number of binary: 0
2023-11-02 10:22:07 [INFO] idaes.solve.petsc-dae: Number of objectives: 0 (Ignoring)
2023-11-02 10:22:07 [INFO] idaes.solve.petsc-dae: Number of non-zeros in Jacobian: 30 
2023-11-02 10:22:07 [INFO] idaes.solve.petsc-dae: Number of degrees of freedom: 0
2023-11-02 10:22:07 [INFO] idaes.solve.petsc-dae: ---------------------------------------------------
2023-11-02 10:22:07 [INFO] idaes.solve.petsc-dae:   0 SNES Function norm 4.725472106218e+00 
2023-11-02 10:22:07 [INFO] idaes.solve.petsc-dae:   1 SNES Function norm 6.033402274321e-03 
2023-11-02 10:22:07 [INFO] idaes.solve.petsc-dae:   2 SNES Function norm 5.511108092160e-19 
2023-11-02 10:22:07 [INFO] idaes.solve.petsc-dae: SNESConvergedReason = SNES_CONVERGED_FNORM_ABS, in 2 iterations
2023-11-02 10:22:07 [INFO] idaes.solve.petsc-dae: SNES_CONVERGED_FNORM_ABS
2023-11-02 10:22:07 [INFO] idaes.solve.petsc-dae: Called fg_read, err: 0 (0 is good)
2023-11-02 10:22:07 [INFO] idaes.solve.petsc-dae: ---------------------------------------------------
2023-11-02 10:22:07 [INFO] idaes.solve.petsc-dae: DAE: 1
2023-11-02 10:22:07 [INFO] idaes.solve.petsc-dae: Reading nl file: C:\Users\dkgun\AppData\Local\Temp\tmp86gcsgoo.pyomo.nl
2023-11-02 10:22:07 [INFO] idaes.solve.petsc-dae: Number of constraints: 12
2023-11-02 10:22:07 [INFO] idaes.solve.petsc-dae: Number of nonlinear constraints: 6
2023-11-02 10:22:07 [INFO] idaes.solve.petsc-dae: Number of linear constraints: 6
2023-11-02 10:22:07 [INFO] idaes.solve.petsc-dae: Number of inequalities: 0
2023-11-02 10:22:07 [INFO] idaes.solve.petsc-dae: Number of variables: 17
2023-11-02 10:22:07 [INFO] idaes.solve.petsc-dae: Number of integers: 0
2023-11-02 10:22:07 [INFO] idaes.solve.petsc-dae: Number of binary: 0
2023-11-02 10:22:07 [INFO] idaes.solve.petsc-dae: Number of objectives: 0 (Ignoring)
2023-11-02 10:22:07 [INFO] idaes.solve.petsc-dae: Number of non-zeros in Jacobian: 42 
2023-11-02 10:22:07 [INFO] idaes.solve.petsc-dae: Explicit time variable: 0
2023-11-02 10:22:07 [INFO] idaes.solve.petsc-dae: Number of derivatives: 5
2023-11-02 10:22:07 [INFO] idaes.solve.petsc-dae: Number of differential vars: 5
2023-11-02 10:22:07 [INFO] idaes.solve.petsc-dae: Number of algebraic vars: 7
2023-11-02 10:22:07 [INFO] idaes.solve.petsc-dae: Number of state vars: 12
2023-11-02 10:22:07 [INFO] idaes.solve.petsc-dae: Number of degrees of freedom: 0
2023-11-02 10:22:07 [INFO] idaes.solve.petsc-dae: ---------------------------------------------------
2023-11-02 10:22:07 [INFO] idaes.solve.petsc-dae: 0 TS dt 0.01 time 0.
2023-11-02 10:22:07 [INFO] idaes.solve.petsc-dae: 1 TS dt 0.01 time 0.01
2023-11-02 10:22:07 [INFO] idaes.solve.petsc-dae: 2 TS dt 0.0253727 time 0.02
2023-11-02 10:22:07 [INFO] idaes.solve.petsc-dae: 3 TS dt 0.0263136 time 0.0453727
2023-11-02 10:22:07 [INFO] idaes.solve.petsc-dae: 4 TS dt 0.0266656 time 0.0716863
2023-11-02 10:22:07 [INFO] idaes.solve.petsc-dae: 5 TS dt 0.0273379 time 0.0983519
2023-11-02 10:22:07 [INFO] idaes.solve.petsc-dae: 6 TS dt 0.0278858 time 0.12569
2023-11-02 10:22:07 [INFO] idaes.solve.petsc-dae: 7 TS dt 0.0285647 time 0.153576
2023-11-02 10:22:07 [INFO] idaes.solve.petsc-dae: 8 TS dt 0.0299787 time 0.18214
2023-11-02 10:22:07 [INFO] idaes.solve.petsc-dae: 9 TS dt 0.0330027 time 0.212119
2023-11-02 10:22:07 [INFO] idaes.solve.petsc-dae: 10 TS dt 0.0389392 time 0.245122
2023-11-02 10:22:07 [INFO] idaes.solve.petsc-dae: 11 TS dt 0.0502022 time 0.284061
2023-11-02 10:22:07 [INFO] idaes.solve.petsc-dae: 12 TS dt 0.0725265 time 0.334263
2023-11-02 10:22:07 [INFO] idaes.solve.petsc-dae: 13 TS dt 0.12324 time 0.40679
2023-11-02 10:22:07 [INFO] idaes.solve.petsc-dae: 14 TS dt 0.275636 time 0.53003
2023-11-02 10:22:07 [INFO] idaes.solve.petsc-dae: 15 TS dt 0.851223 time 0.805665
2023-11-02 10:22:07 [INFO] idaes.solve.petsc-dae: 16 TS dt 0.943011 time 1.65689
2023-11-02 10:22:07 [INFO] idaes.solve.petsc-dae: 17 TS dt 0.992936 time 2.5999
2023-11-02 10:22:07 [INFO] idaes.solve.petsc-dae: 18 TS dt 1.05983 time 3.59284
2023-11-02 10:22:07 [INFO] idaes.solve.petsc-dae: 19 TS dt 1.10803 time 4.65266
2023-11-02 10:22:07 [INFO] idaes.solve.petsc-dae: 20 TS dt 1.11384 time 5.76069
2023-11-02 10:22:07 [INFO] idaes.solve.petsc-dae: 21 TS dt 1.08077 time 6.87453
2023-11-02 10:22:07 [INFO] idaes.solve.petsc-dae: 22 TS dt 1.03546 time 7.9553
2023-11-02 10:22:07 [INFO] idaes.solve.petsc-dae: 23 TS dt 0.996324 time 8.99076
2023-11-02 10:22:07 [INFO] idaes.solve.petsc-dae: 24 TS dt 0.969147 time 9.98708
2023-11-02 10:22:07 [INFO] idaes.solve.petsc-dae: 25 TS dt 0.952825 time 10.9562
2023-11-02 10:22:07 [INFO] idaes.solve.petsc-dae: 26 TS dt 0.945257 time 11.9091
2023-11-02 10:22:07 [INFO] idaes.solve.petsc-dae: 27 TS dt 0.944477 time 12.8543
2023-11-02 10:22:07 [INFO] idaes.solve.petsc-dae: 28 TS dt 0.94914 time 13.7988
2023-11-02 10:22:07 [INFO] idaes.solve.petsc-dae: 29 TS dt 0.95827 time 14.7479
2023-11-02 10:22:07 [INFO] idaes.solve.petsc-dae: 30 TS dt 0.971205 time 15.7062
2023-11-02 10:22:07 [INFO] idaes.solve.petsc-dae: 31 TS dt 0.987477 time 16.6774
2023-11-02 10:22:07 [INFO] idaes.solve.petsc-dae: 32 TS dt 1.00677 time 17.6649
2023-11-02 10:22:07 [INFO] idaes.solve.petsc-dae: 33 TS dt 1.02887 time 18.6716
2023-11-02 10:22:07 [INFO] idaes.solve.petsc-dae: 34 TS dt 1.05365 time 19.7005
2023-11-02 10:22:07 [INFO] idaes.solve.petsc-dae: 35 TS dt 1.08108 time 20.7542
2023-11-02 10:22:07 [INFO] idaes.solve.petsc-dae: 36 TS dt 1.11115 time 21.8352
2023-11-02 10:22:07 [INFO] idaes.solve.petsc-dae: 37 TS dt 1.14395 time 22.9464
2023-11-02 10:22:07 [INFO] idaes.solve.petsc-dae: 38 TS dt 1.17959 time 24.0903
2023-11-02 10:22:07 [INFO] idaes.solve.petsc-dae: 39 TS dt 1.21826 time 25.2699
2023-11-02 10:22:07 [INFO] idaes.solve.petsc-dae: 40 TS dt 1.2602 time 26.4882
2023-11-02 10:22:07 [INFO] idaes.solve.petsc-dae: 41 TS dt 1.30569 time 27.7484
2023-11-02 10:22:07 [INFO] idaes.solve.petsc-dae: 42 TS dt 1.35511 time 29.0541
2023-11-02 10:22:07 [INFO] idaes.solve.petsc-dae: 43 TS dt 1.40889 time 30.4092
2023-11-02 10:22:07 [INFO] idaes.solve.petsc-dae: 44 TS dt 1.46755 time 31.8181
2023-11-02 10:22:07 [INFO] idaes.solve.petsc-dae: 45 TS dt 1.53172 time 33.2856
2023-11-02 10:22:07 [INFO] idaes.solve.petsc-dae: 46 TS dt 1.60213 time 34.8174
2023-11-02 10:22:07 [INFO] idaes.solve.petsc-dae: 47 TS dt 1.67965 time 36.4195
2023-11-02 10:22:07 [INFO] idaes.solve.petsc-dae: 48 TS dt 1.76533 time 38.0991
2023-11-02 10:22:07 [INFO] idaes.solve.petsc-dae: 49 TS dt 1.86041 time 39.8645
2023-11-02 10:22:07 [INFO] idaes.solve.petsc-dae: 50 TS dt 1.96638 time 41.7249
2023-11-02 10:22:07 [INFO] idaes.solve.petsc-dae: 51 TS dt 2.08502 time 43.6913
2023-11-02 10:22:07 [INFO] idaes.solve.petsc-dae: 52 TS dt 2.21847 time 45.7763
2023-11-02 10:22:07 [INFO] idaes.solve.petsc-dae: 53 TS dt 2.36933 time 47.9948
2023-11-02 10:22:07 [INFO] idaes.solve.petsc-dae: 54 TS dt 2.5407 time 50.3641
2023-11-02 10:22:07 [INFO] idaes.solve.petsc-dae: 55 TS dt 2.73631 time 52.9048
2023-11-02 10:22:07 [INFO] idaes.solve.petsc-dae: 56 TS dt 2.96063 time 55.6411
2023-11-02 10:22:07 [INFO] idaes.solve.petsc-dae: 57 TS dt 3.21887 time 58.6017
2023-11-02 10:22:07 [INFO] idaes.solve.petsc-dae: 58 TS dt 3.51701 time 61.8206
2023-11-02 10:22:07 [INFO] idaes.solve.petsc-dae: 59 TS dt 3.86158 time 65.3376
2023-11-02 10:22:07 [INFO] idaes.solve.petsc-dae: 60 TS dt 4.25928 time 69.1992
2023-11-02 10:22:07 [INFO] idaes.solve.petsc-dae: 61 TS dt 4.71617 time 73.4585
2023-11-02 10:22:07 [INFO] idaes.solve.petsc-dae: 62 TS dt 5.23661 time 78.1747
2023-11-02 10:22:07 [INFO] idaes.solve.petsc-dae: 63 TS dt 5.82229 time 83.4113
2023-11-02 10:22:07 [INFO] idaes.solve.petsc-dae: 64 TS dt 6.47216 time 89.2335
2023-11-02 10:22:07 [INFO] idaes.solve.petsc-dae: 65 TS dt 7.18398 time 95.7057
2023-11-02 10:22:07 [INFO] idaes.solve.petsc-dae: 66 TS dt 7.9573 time 102.89
2023-11-02 10:22:07 [INFO] idaes.solve.petsc-dae: 67 TS dt 8.79623 time 110.847
2023-11-02 10:22:07 [INFO] idaes.solve.petsc-dae: 68 TS dt 9.71025 time 119.643
2023-11-02 10:22:07 [INFO] idaes.solve.petsc-dae: 69 TS dt 10.7131 time 129.353
2023-11-02 10:22:07 [INFO] idaes.solve.petsc-dae: 70 TS dt 11.8212 time 140.067
2023-11-02 10:22:07 [INFO] idaes.solve.petsc-dae: 71 TS dt 13.0522 time 151.888
2023-11-02 10:22:07 [INFO] idaes.solve.petsc-dae: 72 TS dt 7.53 time 164.94
2023-11-02 10:22:07 [INFO] idaes.solve.petsc-dae: 73 TS dt 7.53 time 172.47
2023-11-02 10:22:07 [INFO] idaes.solve.petsc-dae: 74 TS dt 16.8503 time 180.
2023-11-02 10:22:07 [INFO] idaes.solve.petsc-dae: TSConvergedReason = TS_CONVERGED_TIME
2023-11-02 10:22:07 [INFO] idaes.solve.petsc-dae: TS_CONVERGED_TIME
# Verify results
assert abs(y1 - pyo.value(m.y[180, 1])) / y1 < 1e-3
assert abs(y2 - pyo.value(m.y[180, 2])) / y2 < 1e-3
assert abs(y3 - pyo.value(m.y[180, 3])) / y3 < 1e-3
assert abs(y4 - pyo.value(m.y[180, 4])) / y4 < 1e-3
assert abs(y5 - pyo.value(m.y[180, 5])) / y5 < 1e-3
assert abs(y6 - pyo.value(m.y6[180])) / y6 < 1e-3

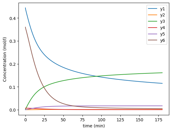
Plot Results Stored in Model#

In the problem above we used the PETSc to integrate between the first and last time point. By default, the PETSc DAE utility will interpolate from the PETSc trajectory to fill in the skipped points.

a = plt.plot(m.t, [pyo.value(m.y[t, 1]) for t in m.t], label="y1")
a = plt.plot(m.t, [pyo.value(m.y[t, 2]) for t in m.t], label="y2")
a = plt.plot(m.t, [pyo.value(m.y[t, 3]) for t in m.t], label="y3")
a = plt.plot(m.t, [pyo.value(m.y[t, 4]) for t in m.t], label="y4")
a = plt.plot(m.t, [pyo.value(m.y[t, 5]) for t in m.t], label="y5")
a = plt.plot(m.t, [pyo.value(m.y6[t]) for t in m.t], label="y6")
a = plt.legend()
a = plt.ylabel("Concentration (mol/l)")
a = plt.xlabel("time (min)")
../../_images/cf41289cc14910af14042926c9b78e36a4e7734d56934a9dc0ea3823007bd400.png

Plot Trajectory#

# First plot all y's on one plot

a = plt.plot(tj.time, tj.get_vec(m.y[180, 1]), label="y1")
a = plt.plot(tj.time, tj.get_vec(m.y[180, 2]), label="y2")
a = plt.plot(tj.time, tj.get_vec(m.y[180, 3]), label="y3")
a = plt.plot(tj.time, tj.get_vec(m.y[180, 4]), label="y4")
a = plt.plot(tj.time, tj.get_vec(m.y[180, 5]), label="y5")
a = plt.plot(tj.time, tj.get_vec(m.y6[180]), label="y6")
a = plt.legend()
a = plt.ylabel("Concentration (mol/l)")
a = plt.xlabel("time (min)")
../../_images/52392e1df1e6de9a12e4b4dd6de2691e84572a5ab98e4dbdfeb8169f04f9bc56.png
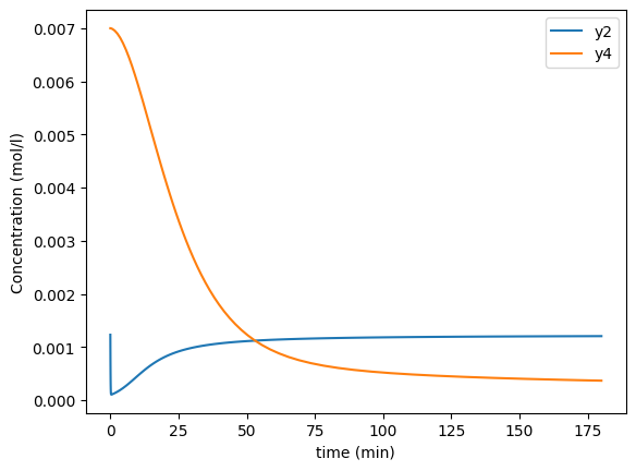
# 2 and 4 are pretty low concentration, so plot those so we can see better
a = plt.plot(tj.time, tj.get_vec(m.y[180, 2]), label="y2")
a = plt.plot(tj.time, tj.get_vec(m.y[180, 4]), label="y4")
a = plt.legend()
a = plt.ylabel("Concentration (mol/l)")
a = plt.xlabel("time (min)")
../../_images/4a7d4798f4ecf77c265540f437819ef1038494e5dcaedbc3149a826429bff80f.png
# 2 seems to have some fast dynamics so plot a shorter time
a = plt.plot(tj.vecs["_time"], tj.vecs[str(m.y[180, 2])], label="y2")
a = plt.legend()
a = plt.ylabel("Concentration (mol/l)")
a = plt.xlabel("time (min)")
a = plt.xlim(0, 2)
../../_images/7e7b3002472f393e537eeec90d04eac0ae406fe73f16dbbfbd6f4930ae87395f.png

Interpolate Trajectory#

For a number of reasons, such as initializing Pyomo problems or showing results at even time intervals it can be useful to show values at specific time points. The PetscTrajectory class has a method to use linear interpolation to produce a new dictionary of trajectory data at specified time points.

# This creates a new trajectory data set with data every minute.
tji = tj.interpolate(np.linspace(0, 180, 181))
# The plot of this new data should look the same as the original, although some of the
# fast dynamics of component 2 will be obscured.

a = plt.plot(tji.time, tji.get_vec(m.y[180, 1]), label="y1")
a = plt.plot(tji.time, tji.get_vec(m.y[180, 2]), label="y2")
a = plt.plot(tji.time, tji.get_vec(m.y[180, 3]), label="y3")
a = plt.plot(tji.time, tji.get_vec(m.y[180, 4]), label="y4")
a = plt.plot(tji.time, tji.get_vec(m.y[180, 5]), label="y5")
a = plt.plot(tji.time, tji.get_vec(m.y6[180]), label="y6")
a = plt.legend()
a = plt.ylabel("Concentration (mol/l)")
a = plt.xlabel("time (min)")
../../_images/8f589b5bd60f7570c79f8fcf1458f6bbe287cfbd2414280b60ad9618158456cd.png
a = plt.plot(tji.time, tji.get_vec(m.y[180, 2]), label="y2 interpolate dt=1")
a = plt.plot(tj.time, tj.get_vec(m.y[180, 2]), label="y2 original")
a = plt.legend()
a = plt.ylabel("Concentration (mol/l)")
a = plt.xlabel("time (min)")
a = plt.xlim(0, 2)
../../_images/84d64c5858f31a304c8e46d047898261efc1acdddca082e3f9bd06aeebe79fbf.png